Пређи на садржај
Home
Rešeni zadaci
5 razred
6 razred
7 razred
8 razred
Mala matura
Videi Mala matura
Brojevi i operacije sa njima – Videi
Algebra i funkcije – Videi
Geometrija – Videi
Merenje – Videi
Obrada podataka – Videi
Konsultacije
Kontakt
Registracija
Login
Vaš nalog
Home
Rešeni zadaci
5 razred
6 razred
7 razred
8 razred
Mala matura
Videi Mala matura
Brojevi i operacije sa njima – Videi
Algebra i funkcije – Videi
Geometrija – Videi
Merenje – Videi
Obrada podataka – Videi
Konsultacije
Kontakt
Registracija
Login
Vaš nalog
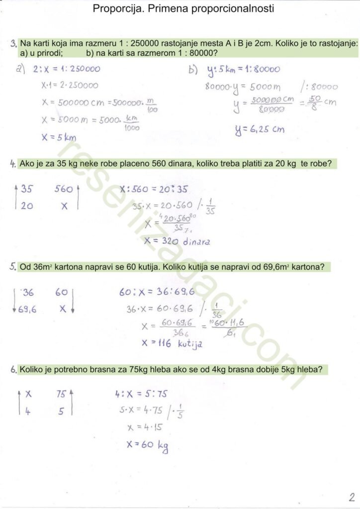
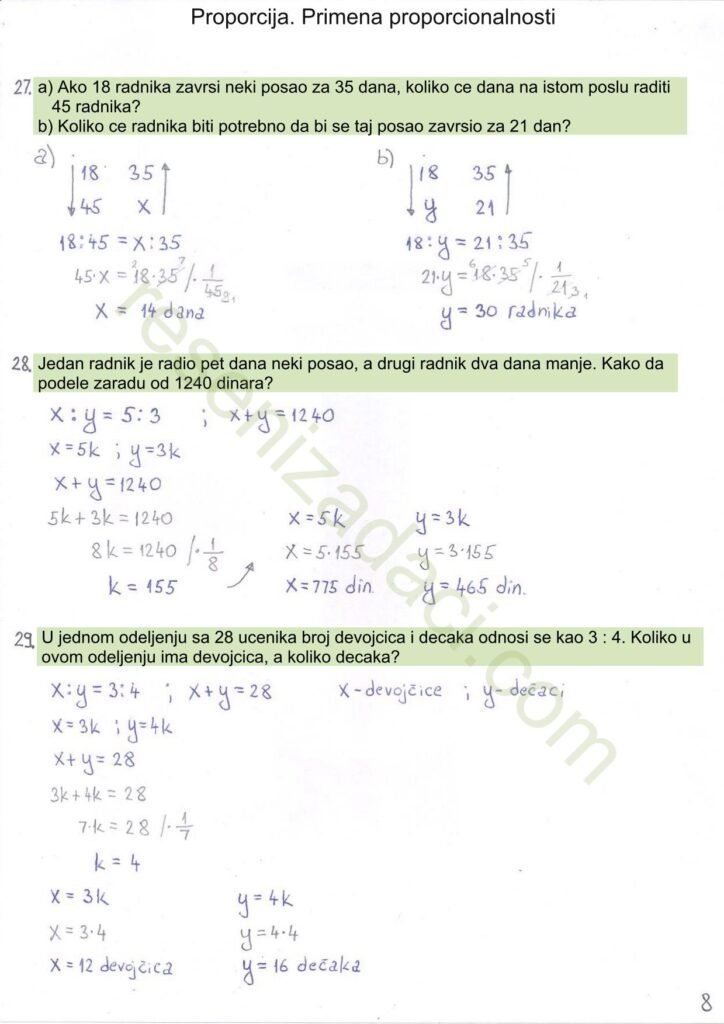
Proporcija. Primena proporcionalnosti
7. razred
Fajl za praćenje napretka i opis nejasnoća
Preuzmite
Scroll to Top